Escritorio del alumno

Programa Conectar Igualdad.com.ar

Imprimir

Actividades

La belleza de los números

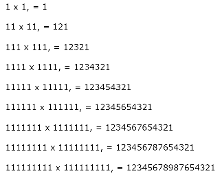
Aquí te ofrecemos un texto del matemático Adrián Paenza. Allí, el reconocido divulgador científico nos habla sobre la belleza del amor, del arte... y ¡de las matemáticas!

Al decir del propio autor:

               "Aquí van, entonces, algunas igualdades sorprendentes, deliciosas, puras e incomprensibles. Pero bellas. Disfrútenlas."

la_belleza_de_los_numeros1.PNG


Ver PDF